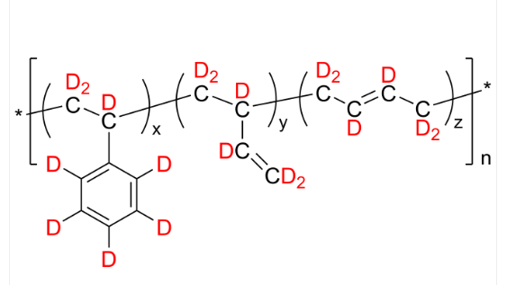
dPSdBdran 聚([氘化苯乙烯-d8]-共-[氘化丁二烯-d6]) 氘化无规共聚物Poly([deuterated styrene-d8]-co-[deuterated butadiene-d6
中文字幕分类:聚([氘化苯乙稀-d8]-共-[氘化丁二烯-d6])日语简称为:dPSdBdran英语翻译全名:Poly([deuterated styrene-d8]-co-[deuterated butadiene-d6]), randomCAS号:n/a; PS-d8: 27732-42-9; PS: 9003-53-6; PBd: 9003-17-2; PSBdran: 9003-55-8分子结构式:[(C8D8)x(C4D6)y(C4D6)z]n主链框架:无规共聚物重点营养成分:PBd亲疏水性聚氨酯:疏水服务类型、:拉曼光谱氘化提大分子荧光/变色:无外表/状态:固体粉化或粒子(以真正外表准确)纯净度:≤ 100%框架式:

![dPSdBdran 聚([氘化苯乙烯-d8]-共-[氘化丁二烯-d6]) 氘化无规共聚物Poly([deuterated styrene-d8]-co-[deuterated butadiene-d6-UDP糖丨MOF丨金属有机框架丨聚集诱导发光丨荧光标记推荐西安pg电子娱乐游戏app
生物](/images/logo.png)

pg电子娱乐游戏app
微信公众号
官方微信