ICG-NHS|CAS:622335-40-3|ICG-N-羟基琥珀酰亚胺
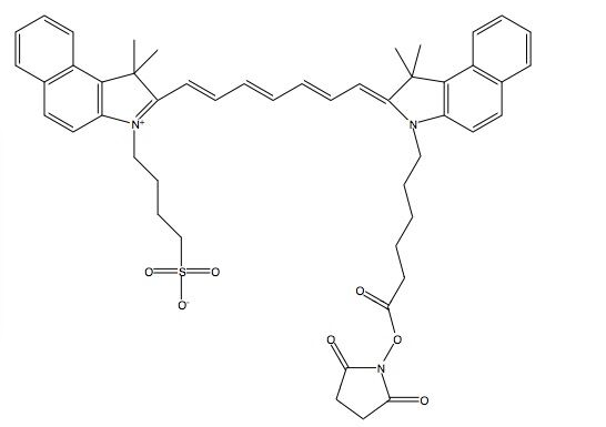
ICG-NHS|CAS:622335-40-3|ICG-N-羟基虎珀酰亚胺用英语品牌:ICG-NHS中文翻译名:ICG-N-羟基蜜腊酰亚胺CAS:1622335-40-3化学结构式式: C49H53N3O7S氧分子量: 828.03外 观:深草绿色碎末融化性:溶水DMSO或DMF纯 度:95%保 存:-20℃闭光增强射出光谱:785/821nm服务筒介:ICG-NHS酯都是种更具Z具象征着性的NHS酯符号图片胺发生生理反应基团的有机物。原因它对考试内容一级胺(-NH2)更具快捷、高特女性朋友的发生生理反应,能在暂时性间内符号图片含胺(-NH2)的蛋清质、表面抗原和胺装饰的寡核苷酸。结构类型式



pg电子娱乐游戏app
微信公众号
官方微信