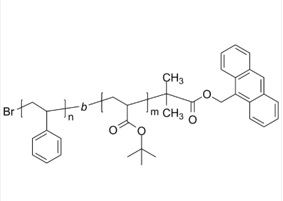
PS-PtBuA-An 聚苯乙烯-聚丙烯酸叔丁酯-蒽基 二嵌段共聚物 Poly(styrene)-b-poly(tert-butyl acrylate), ω-(anthracen-9-yl)-ter
繁体中文简称:聚苯乙稀-聚亚克力 叔丁酯-蒽基因为也叫:PS-PtBuA-An英语简称:Poly(styrene)-b-poly(tert-butyl acrylate), ω-(anthracen-9-yl)-terminated英文翻译别号:Poly(styrene-block-tert-butyl acrylate)CAS号:n/a; PS: 9003-53-6; PtBuA: 25232-27-3原子式:[C8H8]n [C7H12O2]m主链形式:二嵌段共聚物首要因素:PtBuA亲疏水:疏水好产类别型:荧光标示得大分子荧光/发光字广告:蒽油漆颜色/底部形态:固体碎末或颗粒物(以具体情况油漆颜色为标准)纯净度:≤ 100%设备构造式:



pg电子娱乐游戏app
微信公众号
官方微信