PBd-PEO-NH2/PBd-PEG-NH2 聚(1,2-丁二烯)-聚乙二醇-氨基 两亲性二嵌段共聚物
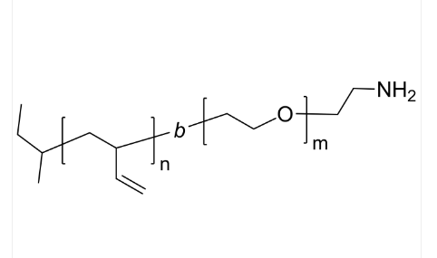
中文字幕名号:聚(1,2-丁二烯)-聚乙二醇-氨基用英语通称:PBd-PEO-NH2/PBd-PEG-NH2英文翻译被称为:Poly(1,2-butadiene)-b-poly(ethylene oxide), ω-amino-terminated英文音标俗名:Poly(butadiene-block-ethylene oxide), ω-amino-terminatedCAS号:n/a; PEG: 25322-68-3; PBd: 9003-17-2原子式:C4H9[C4H6]n[C2H4O]mC2H4NH2主链结构的:二嵌段共聚物大部分的成分:PEO/PEG亲疏水溶性:两亲性物产品线型:端基作用化淡化涨大分子荧光/发光字:无外在/价值形式:固定粉尘或小粒(以合理外在时以)含量:≤ 100%组成式:



pg电子娱乐游戏app
微信公众号
官方微信