Br-PtBuA-PCL-SH 溴基-聚丙烯酸叔丁酯-聚己内酯-硫醇 二嵌段共聚物
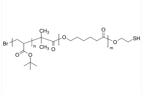
汉语明称:溴基-聚丙烯酸酯叔丁酯-聚己内酯-硫醇英文版全称:Br-PtBuA-PCL-SH用英语英文名称:Poly(tert-butyl acrylate)-b-poly(ε-caprolactone), ω-thiol-terminated英文翻译别号:Poly(butyl acrylate-block-caprolactone), thiol-terminatedCAS号:n/a; PtBuA: 25232-27-3; PCL: 24980-41-4原子式:Br[C7H12O2]n[C6H10O2]mOC2H4SH主链架构:二嵌段共聚物关键组成成分:PCL亲疏水性聚氨酯:疏水成种形式:生物工程吸附涨分子结构荧光/变色:无外型/姿态:固体金属粉或颗粒肥料(以事实外型起算)纯净度:≤ 100%机构式:



pg电子娱乐游戏app
微信公众号
官方微信