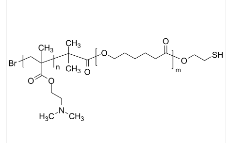
Br-PDMAEMA-PCL-SH 溴基-聚甲基丙烯酸二甲氨基乙酯-聚己内酯-硫醇 二嵌段共聚物
汉语公司名称:溴基-聚甲基丙稀酸二甲氨基乙酯-聚己内酯-硫醇英文翻译缩写:Br-PDMAEMA-PCL-SH日语被称为:Poly(2-dimethylaminoethyl methacrylate)-b-poly(ε-caprolactone), ω-thiol-terminated英语别号:Poly(2-dimethylaminoethyl methacrylate-block-ε-caprolactone)CAS号:n/a; PCL: 24980-41-4; PEMA: 9003-42-3碳原子式:Br[C8H15O2N]n [C6H10O2]mOC2H4SH主链设计:二嵌段共聚物最主要的营养成分:PCL亲疏水溶性:疏水企业产品项型:生物技术分解得大分子荧光/带光:无外装/姿态:固定粉未或小粒(以实际效果外装为标准)溶解度:≤ 100%结构设计式:



pg电子娱乐游戏app
微信公众号
官方微信