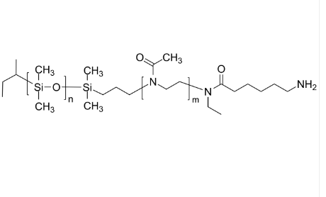
PDMS-PMOXZ-NH2 聚二甲基硅氧烷-聚(2-甲基恶唑啉)-氨基 二嵌段共聚物
中文名字字名字大全:聚二甲基硅氧烷-聚(2-甲基恶唑啉)-氨基英文怎么说简单来说就是:PDMS-PMOXZ-NH2英语翻译简称:Poly(dimethylsiloxane)-b-poly(2-methyloxazoline), ω-amino-terminated因为学名:Poly(dimethylsiloxane-block-methyl oxazoline)CAS号:n/a; PDMS: 9016-00-6/63148-62-9大分子结构:C4H9[C2H6OSi]n[C4H7NO]mC8H17N2O主链成分:二嵌段共聚物其主要有效成分:PDMS亲疏水:两亲性新产商品型:端基模块化掩盖好的成绩子荧光/出现发亮:无外貌/社会形态:固体碎末或颗粒物(以合理外貌是以)饱和度:≤ 100%结构特征式:



pg电子娱乐游戏app
微信公众号
官方微信