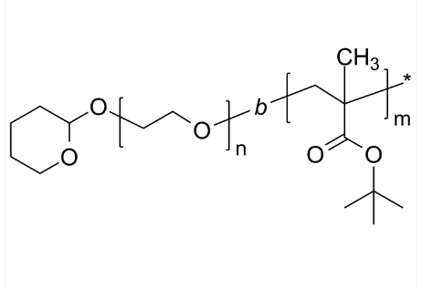
THP-PEO-PtBuMA 四氢吡喃基-聚乙二醇-聚甲基丙烯酸叔丁酯 两亲性二嵌段共聚物 Poly(ethylene oxide)-b-poly(tert-butyl methacrylate)
中文翻译名称大全:四氢吡喃基-聚乙二醇-聚甲基亚克力 叔丁酯用英语也叫:THP-PEO-PtBuMA / THP-PEG-PtBuMA国外英文称怎么读:Poly(ethylene oxide)-b-poly(tert-butyl methacrylate), α-tetrahydropyranyl-terminated英文字母俗名:Poly(ethylene oxide-block-tert-butyl methacrylate)CAS号:n/a; PEG: 25322-68-3; PtBuMA: 25189-00-8; mPEG: 9004-74-4大化学式:C5H9O2[C2H4O]n[C8H14O2]m主链结构设计:二嵌段共聚物核心物质:PEO/PEG亲疏水性树脂:两亲性產类目型:端基功能性化掩盖提团伙荧光/发光字:无铜网外表/行态:固态硬盘碎末或颗粒物(以真实铜网外表为基准)饱和度:≤ 100%结构设计式:



pg电子娱乐游戏app
微信公众号
官方微信