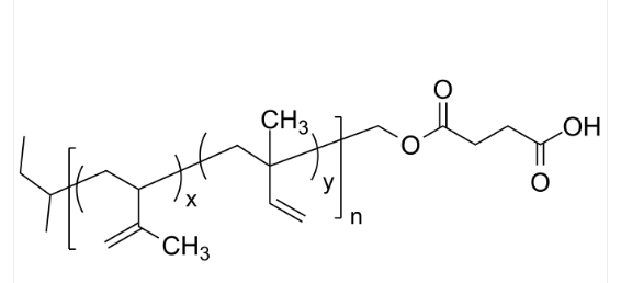
PIP-COOH 聚(1,2-异戊二烯-共-3,4-异戊二烯)-羧基 Poly(1,2-isoprene-co-3,4-isoprene), ω-carboxy-terminated
简体中文英文名称:聚(1,2-异戊二烯-共-3,4-异戊二烯)-羧基用英文怎么说缩写:PIP-COOH英语怎么说英文名称:Poly(1,2-isoprene-co-3,4-isoprene), ω-carboxy-terminated日语又名:Poly(isoprene), carboxy-terminatedCAS号:n/a; PIP: 9003-31-0分子结构式:C4H9[C5H8]nCOOH主链结构的:直链共聚物基本有效成分:PIP亲疏水性聚氨酯:疏水护肤商品种型号:端基功能模块化呈现满分子式荧光/带光:无外型/性状:固态硬盘安装粉尘或粒状(以具体情况外型是以)溶解度:≤ 100%格局式:



pg电子娱乐游戏app
微信公众号
官方微信