PIP-COOtBu 聚(1,2-异戊二烯-共-3,4-异戊二烯)-叔丁酯 Poly(1,2-isoprene-co-3,4-isoprene), ω-(tert-butyl ester)-term
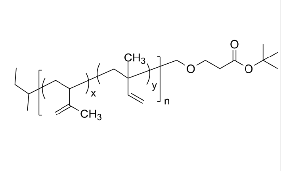
英文版称谓:聚(1,2-异戊二烯-共-3,4-异戊二烯)-叔丁酯日文统称:PIP-COOtBu英文音标总称:Poly(1,2-isoprene-co-3,4-isoprene), ω-(tert-butyl ester)-terminated英文音标学名:Poly(isoprene), (tert-butyl ester)-terminatedCAS号:n/a; PIP: 9003-31-0碳原子式:[C5H8]n主链框架:直链共聚物最主要的基本成分:PIP亲疏丙烯酸乳液:疏水商商品型:端基用途化遮盖100分子式荧光/有光:无铜网外装/底部形态:固态硬盘咖啡豆或粉末(以真正铜网外装为基准)饱和度:≤ 100%节构式:



pg电子娱乐游戏app
微信公众号
官方微信