PDMAPAMD-NH2 聚(N,N-二甲氨基丙基丙烯酰胺)-氨基 Poly(N,N-dimethylaminopropyl acrylamide), α-amino-terminated
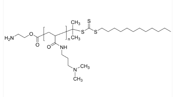
英语名称呼:聚(N,N-二甲氨基丙基丙烯酰胺)-氨基国外英文又称:PDMAPAMD-NH2日文全名是:Poly(N,N-dimethylaminopropyl acrylamide), α-amino-terminatedCAS号:n/a; PAM: 9003-05-8团伙式:NH2[C8H16N2O]nCxHyS3主链形式:直链均聚物注意营养成分:PDMA亲疏水:亲水产品设备形式:端基能力化表达夺团伙荧光/变色:无表面/体型:固态硬盘粉丝或颗粒物(以具体情况表面是以)色度:≤ 100%结构特征式:



pg电子娱乐游戏app
微信公众号
官方微信