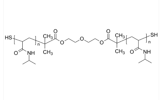
PNIPAM-2SH 聚(N-异丙基丙烯酰胺)-双硫醇 Poly(N-isopropyl acrylamide), α,ω-bis(thiol)-terminated
繁体中文各称:聚(N-异丙基丙烯酰胺)-双硫醇用英文怎么说代称:PNIPAM-2SH日文被称为:Poly(N-isopropyl acrylamide), α,ω-bis(thiol)-terminatedCAS号:n/a; PNIPAM: 25189-55-3原子式:SH(C6H11NO)nSH主链结构的:直链均聚物常见组成:PNIPAM亲疏水性树脂:亲水护肤分款式:端基功用化表达抓原子核荧光/出现发亮:无外貌/特性:nvme固态粉状或小粒(以具体外貌准确)含量:≤ 100%组成部分式:



pg电子娱乐游戏app
微信公众号
官方微信