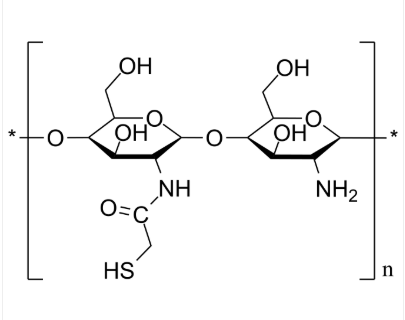
CS-SH/TCS 壳聚糖-硫醇 巯基乙酸巯基化壳聚糖 侧基硫醇 Chitosan, thiolated with thioglycolic acid
英文版称谓:壳聚糖-硫醇/巯基乙酸巯基化壳聚糖国外英文全称:CS-SH/TCS因为全名:Chitosan, thiolated with thioglycolic acidCAS号:n/a; Chitosan: 9012-76-4主链组成:直链均聚物通常部分:Chitosan亲疏水溶性:亲水產品种型:侧基系统化突显好成绩子荧光/变色:无表面/底部形态:固体粉沫或粒状(以实计表面是以)含量:≤ 100%结构设计式:



pg电子娱乐游戏app
微信公众号
官方微信