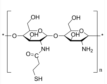
CS-SH/TCS 壳聚糖-硫醇 巯基丙酸巯基化壳聚糖 侧基硫醇 Chitosan, thiolated with mercaptopropionic acid
常常品牌:壳聚糖-硫醇/巯基丙酸巯基化壳聚糖英文怎么说简写:CS-SH/TCS英语怎么说英文名称:Chitosan, thiolated with mercaptopropionic acidCAS号:n/a; Chitosan: 9012-76-4主链成分:直链均聚物关键基本成分:Chitosan亲疏水性聚氨酯:亲水食类目型:侧基功能性化遮盖最利用高分子结构荧光/夜光:无的看/行态:nvme固态金属粉或颗料(以实际情况的看算起)色度:≤ 100%设计式:



pg电子娱乐游戏app
微信公众号
官方微信