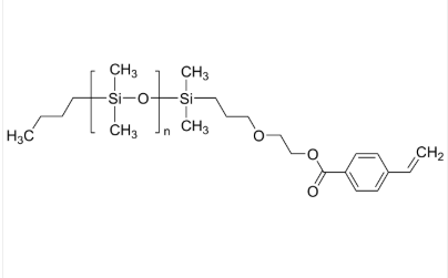
PDMS-vinylBZ 聚二甲基硅氧烷-乙烯基苯甲酸酯 末端双键 Poly(dimethylsiloxane), ω-vinylbenzoyl-terminated
简体中文明称:聚二甲基硅氧烷-氯乙烯基苯甲酸酯 尾端双键日语缩略词:PDMS-vinylBZ英文翻译被称为:Poly(dimethylsiloxane), ω-vinylbenzoyl-terminatedCAS号:n/a; PDMS: 9016-00-6/63148-62-9;碳原子式:C4H9[Si(CH3)2O]nSiC7H16O3C9H7主链节构:直链均聚物常见含量:PDMS亲疏水性树脂:疏水物品种型:端基功能键化掩盖蒙题子荧光/发亮:无美观/型态:Viscous liquid溶解度:≤ 100%成分式:



pg电子娱乐游戏app
微信公众号
官方微信