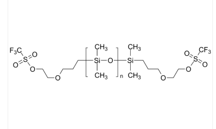
PDMS-2CF3 聚二甲基硅氧烷-双三氟甲基磺酰 Poly(dimethylsiloxane), α,ω-bis(trifluoromethyl sulfonyl)-terminated
中文版种类:聚二甲基硅氧烷-双三氟甲基磺酰英文怎么说英文缩写:PDMS-2CF3用英语它的全称:Poly(dimethylsiloxane), α,ω-bis(trifluoromethyl sulfonyl)-terminated英文怎么说又名:Poly(dimethylsiloxane), α,ω-bis(trifluoromethane sulfonic acid)-terminatedCAS号:n/a; PDMS: 9016-00-6/63148-62-9;氧化学式:CF3SO4CxH2x[C2H6SiO]nCxH2xO4SCF3主链的结构:直链均聚物通常材料:PDMS亲疏水:疏水物产品类别型:端基效果化掩盖涨氧分子荧光/有光:无外觀/型态:Viscous liquid含量:≤ 100%节构式:



pg电子娱乐游戏app
微信公众号
官方微信