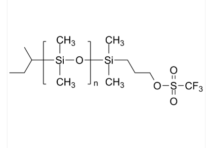
PDMS-CF3 聚二甲基硅氧烷-三氟甲基磺酰 Poly(dimethylsiloxane), ω-(trifluoromethyl sulfonyl)-terminated
繁体中文称呼:聚二甲基硅氧烷-三氟甲基磺酰英文字母又称:PDMS-CF3用英语被称为:Poly(dimethylsiloxane), ω-(trifluoromethyl sulfonyl)-terminatedCAS号:n/a; PDMS: 9016-00-6/63148-62-9;原子核式:C4H9[Si(CH3)2O]nCxH2xO4SCF3主链机构:直链均聚物注意含量:PDMS亲疏水性聚氨酯:疏水产品的形式:端基基本功能化呈现比较高的分数子荧光/有光:无颜色/特征:Viscous liquid含量:≤ 100%架构式:



pg电子娱乐游戏app
微信公众号
官方微信