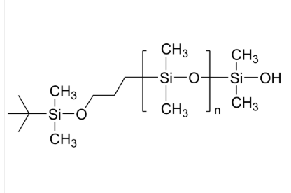
PDMS-SiOH 聚二甲基硅氧烷-硅醇 Poly(dimethylsiloxane), (α-tert-butyl dimethyl siloxy, ω-silanol)-terminated
中文字幕名字:聚二甲基硅氧烷-硅醇英语统称:PDMS-SiOH日文它的全称:Poly(dimethylsiloxane), (α-tert-butyl dimethyl siloxy, ω-silanol)-terminatedCAS号:n/a; PDMS: 9016-00-6/63148-62-9;氧分子结构:[Si(CH3)2O]nC2H6SiOH主链结构类型:直链均聚物其主要化学成分:PDMS亲疏水性聚氨酯:疏水食商品种形式:端基特点化绘制好成绩子荧光/变色:无外观专利/形式:Viscous liquid溶解度:≤ 100%成分式:



pg电子娱乐游戏app
微信公众号
官方微信