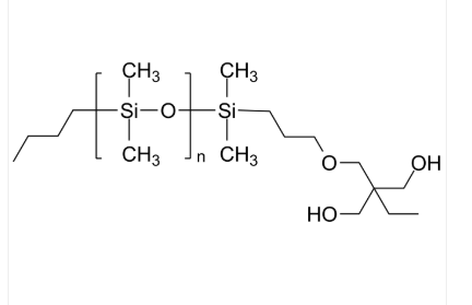
PDMS-2OH 聚二甲基硅氧烷-ω-双羟基[甲醇] Poly(dimethylsiloxane), ω-(dicarbinol)-terminated
中文版公司名称:聚二甲基硅氧烷-ω-双羟基[甲醇]因为通称:PDMS-2OH英文版英文名称:Poly(dimethylsiloxane), ω-(dicarbinol)-terminated因为学名:Poly(dimethylsiloxane), ω-dihydroxy(carbinol)-terminatedCAS号:70131-67-8; PDMS: 9016-00-6/63148-62-9分子结构式:[Si(CH3)2O]nC6H11-2OH主链机构:直链均聚物包括部分:PDMS亲疏水:疏水产品的种类:聚硅氧烷荧光/发亮:无外在/行态:Viscous liquid纯净度:≤ 100%构成式:

![PDMS-2OH 聚二甲基硅氧烷-ω-双羟基[甲醇] Poly(dimethylsiloxane), ω-(dicarbinol)-terminated-UDP糖丨MOF丨金属有机框架丨聚集诱导发光丨荧光标记推荐西安pg电子娱乐游戏app
生物](/images/logo.png)

pg电子娱乐游戏app
微信公众号
官方微信