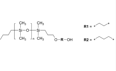
PDMS-OH 聚二甲基硅氧烷-羟基[甲醇] Poly(dimethylsiloxane), ω-hydroxy [carbinol]-terminated
繁体英语名字大全:聚二甲基硅氧烷-羟基[甲醇]日语简称为:PDMS-OH英文翻译中文名称:Poly(dimethylsiloxane), ω-hydroxy [carbinol]-terminated日文俗名:Poly(dimethylsiloxane), monohydroxy(carbinol)-terminatedCAS号:70131-67-8; PDMS: 9016-00-6/63148-62-9原子核式:[Si(CH3)2O]n(CH2)2-3OH主链的结构:直链均聚物注意组分:PDMS亲疏水溶性:疏水新产产品品种型:聚硅氧烷荧光/发光字:无油漆颜色/形态特征:Viscous liquid纯净度:≤ 100%框架式:

![PDMS-OH 聚二甲基硅氧烷-羟基[甲醇] Poly(dimethylsiloxane), ω-hydroxy [carbinol]-terminated-UDP糖丨MOF丨金属有机框架丨聚集诱导发光丨荧光标记推荐西安pg电子娱乐游戏app
生物](/images/logo.png)

pg电子娱乐游戏app
微信公众号
官方微信