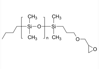
PDMS-epoxy 聚二甲基硅氧烷-环氧基 Poly(dimethylsiloxane), ω-epoxy-terminated
繁体中文称呼:聚二甲基硅氧烷-丙稀酸基英文字母通称:PDMS-epoxy英语全程:Poly(dimethylsiloxane), ω-epoxy-terminated英文字母别号:Poly(dimethylsiloxane), ω-epoxy(glycidyl)-terminated; Poly(dimethylsiloxane), ω-glycidyl-terminated.CAS号:n/a; PDMS: 9016-00-6/63148-62-9;碳原子式:[C2H6OSi]nC8H17SiO2主链构造:直链均聚物核心成份:PDMS亲疏丙烯酸乳液:疏水產项目型:端基技能化装饰低团伙荧光/闪光:无铜网外观/体型:Viscous liquid纯净度:≤ 100%格局式:



pg电子娱乐游戏app
微信公众号
官方微信