PDMS-Cl 聚二甲基硅氧烷-氯基 Poly(dimethylsiloxane), ω-chloro-terminated
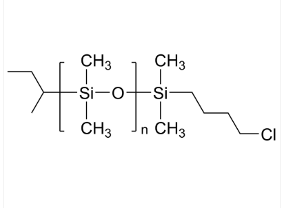
中文翻译品牌:聚二甲基硅氧烷-氯基用英语名字简称:PDMS-Cl国外英文被称为:Poly(dimethylsiloxane), ω-chloro-terminatedCAS号:n/a; PDMS: 9016-00-6/63148-62-9;分子结构式:[C2H6OSi]nCl主链节构:直链均聚物注意化学物质:PDMS亲疏水性聚氨酯:疏水产品设备多种类型:端基的功能化呈现高分数子荧光/夜光:无金属机身/行态:Viscous liquid溶解度:≤ 100%结构特征式:



pg电子娱乐游戏app
微信公众号
官方微信