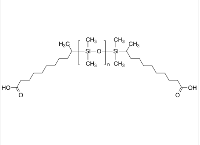
PDMS-2COOH(decyl) 聚二甲基硅氧烷-双羧癸基(羧基) Poly(dimethylsiloxane), α,ω-bis(carboxy decyl)-terminated
2英文种类:聚二甲基硅氧烷-双羧癸基(羧基)英语翻译简单来说就是:PDMS-2COOH(decyl)英文字母英文名称:Poly(dimethylsiloxane), α,ω-bis(carboxy decyl)-terminated英语怎么说别称:Carboxy-functionalized dimethylpolysiloxane; Poly(dimethylsiloxane), bis(carboxy)-terminated.CAS号:n/a; PDMS: 9016-00-6/63148-62-9;分子结构式:COOH[C2H6OSi]nCOOH主链组成部分:直链均聚物常见组成成分:PDMS亲疏水性聚氨酯:疏水设备款式:端基功用化体现抓大分子荧光/出现发亮:无外装/价值形式:Viscous liquid色度:≤ 100%结构特征式:



pg电子娱乐游戏app
微信公众号
官方微信