PDMS-2COOH 聚二甲基硅氧烷-双羧基 Poly(dimethylsiloxane), α,ω-bis(carboxy)-terminated
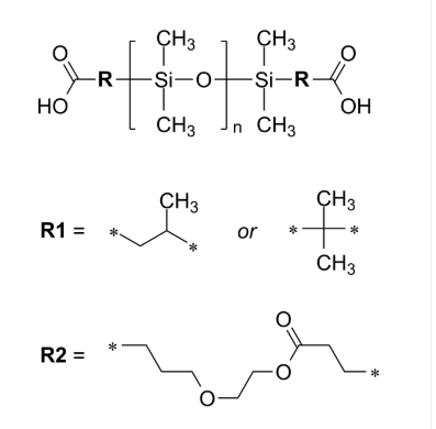
汉语名称大全:聚二甲基硅氧烷-双羧基国外英文通称:PDMS-2COOH日文全名是:Poly(dimethylsiloxane), α,ω-bis(carboxy)-terminated用英文怎么说学名:Carboxy-functionalized dimethylpolysiloxane; Poly(dimethylsiloxane), bis(carboxy)-terminated.CAS号:n/a; PDMS: 9016-00-6/63148-62-9;分子结构式:COOH[C2H6OSi]nCOOH主链设计:直链均聚物主要的材质:PDMS亲疏水溶性:疏水厂商品型:端基系统化遮盖拿高氧分子荧光/会发光:无外表/特征:Viscous liquid纯净度:≤ 100%结构设计式:



pg电子娱乐游戏app
微信公众号
官方微信