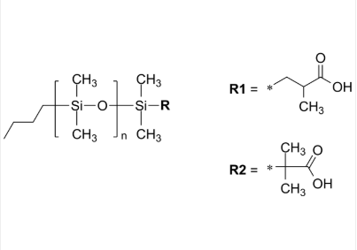
PDMS-C3COOH 聚二甲基硅氧烷-羧丙基(羧基) Poly(dimethylsiloxane), ω-(carboxy propyl)-terminated
中文字称呼:聚二甲基硅氧烷-羧丙基(羧基)英文翻译名字简称:PDMS-C3COOH日文称怎么读:Poly(dimethylsiloxane), ω-(carboxy propyl)-terminated英文音标别号:Carboxy-functionalized dimethylpolysiloxane; Poly(dimethylsiloxane), monocarboxy-terminated.CAS号:n/a; PDMS: 9016-00-6/63148-62-9;原子式:[C2H6OSi]nCOOH主链框架:直链均聚物常见成份:PDMS亲疏水性树脂:疏水企业产分型号:端基效果化绘制最高碳原子荧光/亮光:无外表/社会形态:Viscous liquid色度:≤ 100%机构式:



pg电子娱乐游戏app
微信公众号
官方微信