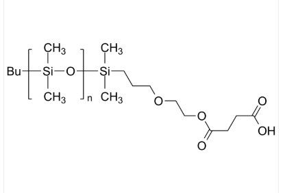
PDMS-COOH 聚二甲基硅氧烷-羧基 Poly(dimethylsiloxane), ω-carboxy-terminated
常常名稱:聚二甲基硅氧烷-羧基英语翻译统称:PDMS-COOH因为简称:Poly(dimethylsiloxane), ω-carboxy-terminated英文字母别称:Carboxy-functionalized dimethylpolysiloxane (PDMS); Poly(dimethylsiloxane), monocarboxy-terminated.CAS号:n/a; PDMS: 9016-00-6/63148-62-9;原子式:[C2H6OSi]nCOOH主链型式:直链均聚物最主要的化学成分:PDMS亲疏水性树脂:疏水车辆分类:端基基本功能化呈现低原子核荧光/变色:无外光/要素:Viscous liquid含量:≤ 100%节构式:



pg电子娱乐游戏app
微信公众号
官方微信