PDMS-Br 聚二甲基硅氧烷-溴基 Poly(dimethylsiloxane), ω-bromo-terminated
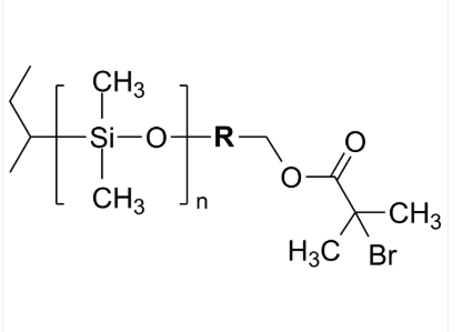
常常英文名称:聚二甲基硅氧烷-溴基英语统称:PDMS-Br英语翻译全程:Poly(dimethylsiloxane), ω-bromo-terminatedCAS号:n/a; PDMS: 9016-00-6/63148-62-9;碳原子式:[C2H6OSi]nBr主链空间结构:直链均聚物重点部分:PDMS亲疏水性树脂:疏水产品的业务类型:端基效果化突显最高碳原子荧光/带光:无外觀/特征:Viscous liquid含量:≤ 100%机构式:



pg电子娱乐游戏app
微信公众号
官方微信