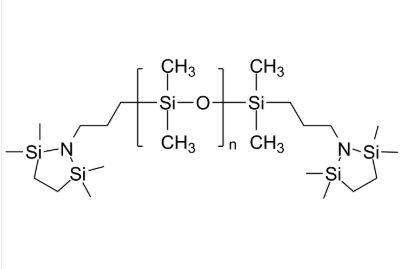
PDMS-2NH2 聚二甲基硅氧烷-双氨基((端基保护) Poly(dimethylsiloxane), α,ω-bis(amino)-terminated, protected end-group
简体中文各称:聚二甲基硅氧烷-双氨基((端基守护)英文字母缩写英文:PDMS-2NH2(protected)因为全名:Poly(dimethylsiloxane), α,ω-bis(amino)-terminated, protected end-groupCAS号:106214-84-0; PDMS: 9016-00-6/63148-62-9团伙式:[C2H6SiO]n主链框架:直链均聚物常见化学成分:PDMS亲疏水性聚氨酯:疏水產类目型:端基功能性化修饰语高分数子荧光/发亮:无美观/形式:Viscous liquid色度:≤ 100%构成式:



pg电子娱乐游戏app
微信公众号
官方微信