PDMS-2NH2 聚二甲基硅氧烷-双氨基 Poly(dimethylsiloxane), α,ω-bis(amino)-terminated
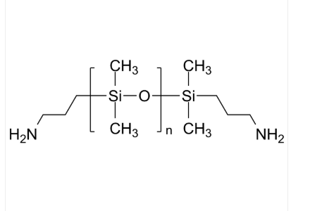
中文版公司名称:聚二甲基硅氧烷-双氨基日语缩写英文:PDMS-2NH2英语怎么说它的全称:Poly(dimethylsiloxane), α,ω-bis(amino)-terminated用英文怎么说别号:Poly(dimethylsiloxane), bis(aminopropyl)-terminated; Poly(dimethylsiloxane), bis(3-aminopropyl) terminated.CAS号:106214-84-0; PDMS: 9016-00-6/63148-62-9团伙式:NH2C3H6[Si(CH3)2O]nC3H6NH2主链结构特征:直链均聚物一般材料:PDMS亲疏水性聚氨酯:疏水产品设备款式:端基模块化掩盖比较高的分数子荧光/发光字:无外表/行态:Viscous liquid含量:≤ 100%形式式:



pg电子娱乐游戏app
微信公众号
官方微信