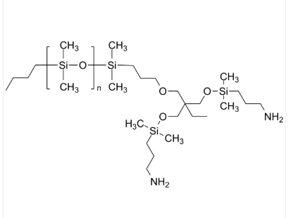
PDMS-2NH2(mono) 聚二甲基硅氧烷-ω-双氨基 Poly(dimethylsiloxane), ω-(diamino)-terminated
英文版名号:聚二甲基硅氧烷-ω-双氨基因为俗称:PDMS-2NH2(mono)用英语英文名称:Poly(dimethylsiloxane), ω-(diamino)-terminatedCAS号:n/a; PDMS: 9016-00-6/63148-62-9原子核式:[C2H6SiO]n2NH2主链构成:直链均聚物主耍含量:PDMS亲疏水性聚氨酯:疏水好产产品类别型:端基模块化修饰语低氧分子荧光/亮光:无外在/行态:Viscous liquid溶解度:≤ 100%结构的式:



pg电子娱乐游戏app
微信公众号
官方微信