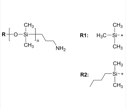
PDMS-NH2 聚二甲基硅氧烷-氨基 Poly(dimethylsiloxane), ω-amino-terminated
中文版名称大全:聚二甲基硅氧烷-氨基英语简写:PDMS-NH2国外英文称怎么读:Poly(dimethylsiloxane), ω-amino-terminated英语怎么说别号:Amino end-functionalized PDMS; Poly(dimethylsiloxane), mono-amino-terminatedCAS号:n/a; PDMS: 9016-00-6/63148-62-9碳原子式:[Si(CH3)2O]n (CH2)2-3 NH2主链结构特征:直链均聚物常见基本成分:PDMS亲疏水:疏水產不断研发创新型:端基的功能化修饰语满分子结构荧光/夜光:无外在/底部形态:Viscous liquid纯净度:≤ 100%设备构造式:



pg电子娱乐游戏app
微信公众号
官方微信