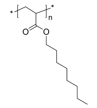
PnOctA 聚丙烯酸正辛酯 疏水高分子均聚物 Poly(n-octyl acrylate)
繁体英语名称大全:聚丙烯酸酯正辛酯用英文怎么说名字简称:PnOctA英语怎么说全名:Poly(n-octyl acrylate)英语怎么说俗名:Poly(2-octyl acrylate)CAS号:25266-13-1大化学式:[CH2CH(CO2C8H17)]n主链构造:直链均聚物主要组成:PnOctA亲疏水性聚氨酯:疏水物料结构类型:常规性比较高的分数子荧光/会发光:无表面/特性:固定小粒或小粒(以具体表面是以)含量:≤ 100%架构式:



pg电子娱乐游戏app
微信公众号
官方微信