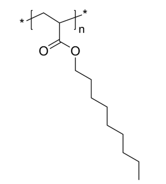
PnNA 聚丙烯酸正壬酯 疏水高分子均聚物 Poly(n-nonyl acrylate)
常常命名:聚丙烯酸酯正壬酯英文版简称为:PnNA英文字母全程:Poly(n-nonyl acrylate)CAS号:n/a碳原子式:[CH2CH(CO2C9H19)]n主链结构设计:直链均聚物最主要的部分:PnNA亲疏水:疏水车辆类型、:普通低氧分子荧光/会发光:无外在/特征:nvme固态粉丝或颗料(以现场外在准确)溶解度:≤ 100%组成式:



pg电子娱乐游戏app
微信公众号
官方微信