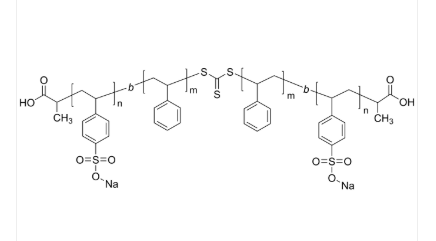
PSSO3Na-PS-PSSO3Na 聚(4-苯乙烯磺酸钠)-聚苯乙烯-聚(4-苯乙烯磺酸钠) ABA三嵌段共聚物盐
中文翻译分类:聚(4-苯乙稀磺酸钠)-聚苯乙稀-聚(4-苯乙稀磺酸钠)英语怎么说简单来说就是:PSSO3Na-PS-PSSO3Na英语英文名称:Poly(4-styrene sulfonic acid sodium salt)-b-poly(styrene)-b-poly(4-styrene sulfonic acid sodium salt)英语学名:Poly(sodium 4-styrenesulfonate)-b-polystyrene-b-poly(sodium 4-styrenesulfonate); Poly(4-styrene sulfonic acid sodium salt-block-styrene-block-4-styrene sulfonic acid sodium salt)CAS号:n/a; PS: 9003-53-6; PSSO3Na: 25704-18-1团伙式:[C8H8]n [C8H7O3SNa]m [C8H8]n主链组成:ABA三嵌段共聚物包括物质:PSSO3H/PSSA亲疏丙烯酸乳液:两亲性的产分型号:缩聚物盐荧光/有光:无表面/要素:固定粉末状或小粒(以实计表面算起)色度:≤ 100%组成部分式:



pg电子娱乐游戏app
微信公众号
官方微信