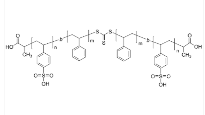
PSSO3H-PS-PSSO3H 聚(4-苯乙烯磺酸)-聚苯乙烯-聚(4-苯乙烯磺酸) ABA三嵌段共聚物
中文名字字公司名称:聚(4-苯乙稀磺酸)-聚苯乙稀-聚(4-苯乙稀磺酸)日语简单来说就是:PSSO3H-PS-PSSO3H用英语总称:Poly(4-styrene sulfonic acid)-b-poly(styrene)-b-poly(4-styrene sulfonic acid)日语別称:Poly(4-styrene sulfonic acid-block-styrene-block-4-styrene sulfonic acid)CAS号:n/a; PS: 9003-53-6; PSSO3H: 28210-41-5碳原子式:[C8H8O3S]n [C8H8]m [C8H8O3S]n主链结构类型:ABA三嵌段共聚物基本因素:PSSO3H/PSSA亲疏水:两亲性成产品品种型:端基用途化突显涨分子式荧光/会发光:无金属机身专利/形态特征:固定粉尘或颗粒肥料(以实际效果金属机身专利准确)溶解度:≤ 100%结构设计式:



pg电子娱乐游戏app
微信公众号
官方微信