PS-PSSO3H-PS 聚苯乙烯-聚(4-苯乙烯磺酸)-聚苯乙烯 ABA三嵌段共聚物
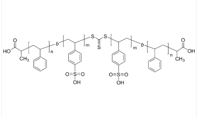
中文版公司名称:聚苯丁二烯-聚(4-苯丁二烯磺酸)-聚苯丁二烯英语全称:PS-PSSO3H-PS英语怎么说全稱:Poly(styrene)-b-poly(4-styrene sulfonic acid)-b-poly(styrene)因为又名:Poly(styrene-block-4-styrene sulfonic acid-block-styrene)CAS号:n/a; PS: 9003-53-6; PSSO3H: 28210-41-5团伙式:[C8H8]n [C8H8O3S]m [C8H8]n主链结构设计:ABA三嵌段共聚物其主要的成分:PSSO3H/PSSA亲疏丙烯酸乳液:两亲性好产类别型:端基基本功能化体现好的成绩子荧光/会发光:无外形/姿态:固态硬盘安装纳米银溶液或颗料(以实际上外形是以)色度:≤ 100%结构特征式:



pg电子娱乐游戏app
微信公众号
官方微信