PS-PMBSO3H 聚苯乙烯-聚(甲基丁烯-co-氢化异戊二烯磺酸) 两亲性二嵌段共聚物
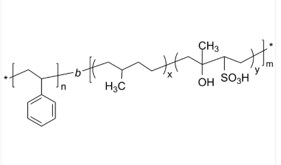
中文版种类:聚苯氯乙烯-聚(甲基丁烯-co-氢化异戊二烯磺酸)日语简写:PS-PMBSO3H用英文怎么说全名是:Poly(styrene)-b-poly(methyl butylene-co-hydrogenated isoprene sulfonate)国外英文别称:Poly(styrene)-b-poly(hydrogenated [1,4-isoprene-co-1,4-isoprene sulfonate]); Poly(styrene)-b-poly(ethylene propylene-co-ethylene sulfonic acid 2-hydroxypropylene).CAS号:n/a; PS: 9003-53-6; PMB: 9010-79-1氧分子结构:[C8H8]n [(C5H10)x (C5HxO10S)y]m主链设备构造:二嵌段共聚物其主要化学成分:PS亲疏水溶性:两亲性物料类别:常规检查拿高碳原子荧光/会亮:无铜网外观专利/价值形式:nvme固态粉化或粒子(以其实铜网外观专利时以)含量:≤ 100%结构的式:



pg电子娱乐游戏app
微信公众号
官方微信