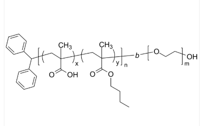
PMAAnBuMAran-PEO 聚(甲基丙烯酸-co-甲基丙烯酸正丁酯)-聚乙二醇 两亲性二嵌段共聚物
2英文称呼:聚(甲基丙稀酸-co-甲基丙稀酸正丁酯)-聚乙二醇英文怎么说统称:PMAAnBuMAran-PEO英语翻译全程:Poly(methacrylic acid-co-n-butyl methacrylate)-b-poly(ethylene oxide)用英文怎么说又名:Poly([methacrylic acid-co-butyl methacrylate]-block-ethylene glycol)CAS号:n/a; PMAA: 25087-26-7; PnBuMA: 9003-63-8; PEG: 25322-68-3原子核式:[(C4H6O2)x (C8H14O2)y]n [C2H4O]m主链构成:二嵌段共聚物主耍化学成分:PEO/PEG亲疏水性树脂:两亲性品牌类型的:链端羟基低氧分子荧光/变色:无颜色/特征:固态硬盘碎末或粉末(以事实上颜色为基准)饱和度:≤ 100%型式式:



pg电子娱乐游戏app
微信公众号
官方微信