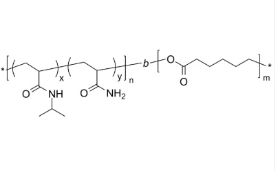
PNIPAMAMDran-PCL 聚(N-异丙基丙烯酰胺-co-丙烯酰胺)-聚己内酯 两亲性二嵌段共聚物
汉语简称:聚(N-异丙基丙烯酰胺-co-丙烯酰胺)-聚己内酯英文版缩写英文:PNIPAMAMDran-PCL英文字母称怎么读:Poly([N-isopropylacrylamide-co-acrylamide)-b-poly(ε-caprolactone)用英文怎么说別称:Poly(N-isopropylacrylamide-co-acrylamide)-block-poly(caprolactone)CAS号:n/a; PNIPAM: 25189-55-3; PAMD: 9003-05-8; PCL: 24980-41-4团伙式:[C6H11NO]n [(C3H5ON)x (C6H10O2)y]m主链构成:二嵌段共聚物常见组成成分:PCL亲疏水溶性:两亲性类产类别型:生物工程光降解提团伙荧光/发光字广告:无外觀/行态:固体咖啡豆或粒子(以实际上的外觀应写)含量:≤ 100%设计式:



pg电子娱乐游戏app
微信公众号
官方微信