PEO-PS4VPran 聚乙二醇-聚(苯乙烯-co-4-乙烯基吡啶) 两亲性二嵌段共聚物
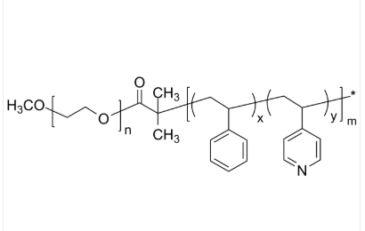
汉语名号:聚乙二醇-聚(苯丁二烯-co-4-丁二烯基吡啶)英文音标英文缩写:PEO-PS4VPran | PEG-PS4VPran英文字母简称:Poly(ethylene oxide)-b-poly(styrene-co-4-vinyl pyridine)]英语怎么说别称:Poly(ethylene oxide)-block-poly(styrene-co-4-vinyl pyridine)CAS号:n/a; PEG: 25322-68-3; PS: 9003-53-6; P4VP: 25232-41-1化学结构式式:[C2H4O]n [(C8H8)x(C7H7N)y]m主链成分:二嵌段共聚物主要组成成分:PEO/PEG亲疏水:两亲性护肤产品类别型:正常抓分子结构荧光/放光:无表面/特征:nvme固态粉状或颗粒物(以实际上表面准确)含量:≤ 100%组成式:



pg电子娱乐游戏app
微信公众号
官方微信