PEO-PLAGAran | PEG-PLGA 聚乙二醇-聚(丙交酯-co-乙交酯) 生物降解两亲性二嵌段共聚物
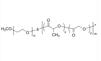
英文姓字命名:聚乙二醇-聚(丙交酯-co-乙交酯)英文怎么说也叫:PEO-PLAGAran | PEG-PLGA英语被称为:Poly(ethylene oxide)-b-poly(DL-lactide-co-glycolide)英语别称:Poly(ethylene oxide)-block-poly(lactide-co-glycolide)CAS号:n/a; PEG: 25322-68-3; Poly(D-lactide): 106989-11-1; Poly(L-lactide): 26161-42-2; PGA: 26124-68-5碳原子式:[C2H4O]n [(C3H4O2)x(C2H2O2)y]m主链构成:二嵌段共聚物具体的成分:PLGA亲疏丙烯酸乳液:两亲性服务的类型:生态学分解抓氧分子荧光/有光:无外形/行态:固定粉化或顆粒(以实际情况外形来算)纯净度:≤ 100%的化学结构式:



pg电子娱乐游戏app
微信公众号
官方微信