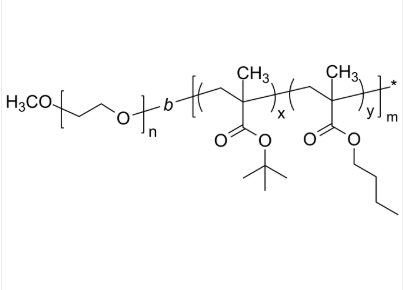
PEO-PtBuMAnBuMAran 聚乙二醇-聚(甲基丙烯酸叔丁酯-co-甲基丙烯酸正丁酯) 两亲性二嵌段共聚物
中文字幕名称大全:聚乙二醇-聚(甲基水性聚氨酯叔丁酯-co-甲基水性聚氨酯正丁酯)英文翻译英文缩写:PEO-PtBuMAnBuMAran | PEG-PtBuMAnBuMAran国外英文称怎么读:Poly(ethylene oxide)-b-poly(tert-butyl methacrylate-co-n-butyl methacrylate)因为俗名:Poly(ethylene oxide-block-butyl methacrylate); Poly(ethylene oxide)-b-poly(tert-butyl methacrylate-co-n-butyl methacrylate).CAS号:n/a; PEG: 25322-68-3; PtBuMA: 25189-00-8; PnBuMA: 9003-63-8原子核式:[C2H4O]n [C8H14O2]m主链结构类型:二嵌段共聚物主要是化学成分:PEO/PEG亲疏水:两亲性企业产商品种分类:常用高分数子荧光/亮光:无外觀/形式:固态硬盘粉状或颗粒肥料(以现实情况外觀准确)纯净度:≤ 100%架构式:



pg电子娱乐游戏app
微信公众号
官方微信