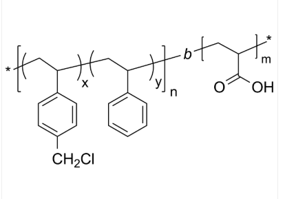
PSCMS-PAA | P4VBC-PAA 聚(4-氯甲基苯乙烯-co-苯乙烯)-聚丙烯酸 | 聚(4-乙烯苄基氯-co-苯乙烯)-聚丙烯酸 两亲性二嵌段共聚物
英语名字种类:聚(4-氯甲基苯丁二烯-co-苯丁二烯)-聚亚克力 | 聚(4-丁二烯苄基氯-co-苯丁二烯)-聚亚克力 用英文怎么说代称:PSCMS-PAA | P4VBC-PAA英文字母全名是:Poly(4-chloromethyl styrene-co-styrene)-b-poly(acrylic acid)英文怎么说别称:Poly([4-chloromethylstyrene-co-styrene]-block-acrylic acid)CAS号:n/a; PS: 9003-53-6; PAA: 9003-01-4碳原子式:[(C9H9Cl)x(C8H8)y]n [C3H4O2]m主链组成:二嵌段共聚物主要是组分:PAA亲疏水:两亲性商品种型:传统100碳原子荧光/亮光:无颜色/状态:固态硬盘安装粉末状或顆粒(以现场颜色起算)溶解度:≤ 100%框架式:



pg电子娱乐游戏app
微信公众号
官方微信