PtBuMAnBuMAran-PEO 聚(甲基丙烯酸叔丁酯-co-甲基丙烯酸正丁酯)-聚乙二醇 两亲性二嵌段共聚物
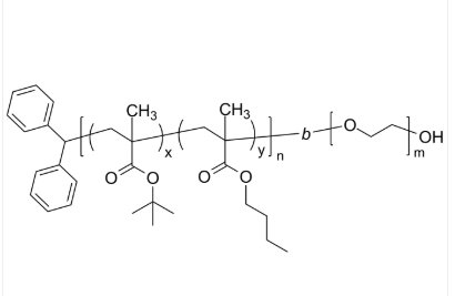
汉语分类:聚(甲基亚克力 叔丁酯-co-甲基亚克力 正丁酯)-聚乙二醇英文音标缩写英文:PtBuMAnBuMAran-PEO | PtBuMAnBuMAran-PEG日语全名:Poly(tert-butyl methacrylate-co-n-butyl methacrylate)-b-poly(ethylene oxide)英文音标又名:Poly(butyl methacrylate-block-ethylene oxide); Poly(tert-butyl methacrylate-co-n-butyl methacrylate)-b-poly(ethylene oxide).CAS号:n/a; PtBuMA: 25189-00-8; PnBuMA: 9003-63-8; PEG: 25322-68-3氧化学结构式:[C8H14O2]n [C2H4O]m主链型式:二嵌段共聚物主要化学成分:PEO/PEG亲疏水溶性:两亲性成项目型:链端羟基满大分子荧光/发亮:无外貌/型态:固定粉状或颗粒状(以实际情况外貌为界)纯净度:≤ 100%的化学结构式:



pg电子娱乐游戏app
微信公众号
官方微信