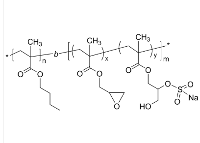
PnBuMA-PGMAHPMASO3Na 聚甲基丙烯酸正丁酯-聚(甲基丙烯酸缩水甘油酯-co-甲基丙烯酸羟丙酯磺酸钠) 两亲性二嵌段共聚物盐
简体中文命名:聚甲基水性聚氨酯正丁酯-聚(甲基水性聚氨酯减少甘油酯-co-甲基水性聚氨酯羟丙酯磺酸钠)因为简称为:PnBuMA-PGMAHPMASO3Na英语翻译英文名称:Poly(n-butyl methacrylate)-b-poly(glycidyl methacrylate-co-hydroxypropyl methacrylate sodium salt)英文翻译俗名:Poly(n-butyl methacrylate-block-glycidyl methacrylate-co-hydroxypropyl methacrylate sodium salt)CAS号:n/a; PnBuMA: 9003-63-8; PGMA: 25067-05-4; PHPMA: 25703-79-1团伙式:[C8H14O2]n [(C7H10O3)x (C7H11O6SNa)y)]m主链组成部分:二嵌段共聚物最主要的化学物质:PnBuMA亲疏水溶性:两亲性商品种型:缩聚物盐荧光/夜光:无外装/形态特征:nvme固态粉沫或粒状(以实际的外装准确)含量:≤ 100%型式式:



pg电子娱乐游戏app
微信公众号
官方微信