PSolMA-PMMAnBuMAran 聚甲基丙烯酸丙酮缩甘油酯-聚甲基丙烯酸甲酯共甲基丙烯酸正丁酯 二嵌段共聚物
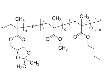
繁体中文名字:聚甲基丙稀酸酯异丙醇缩甘油酯-聚甲基丙稀酸酯甲酯共甲基丙稀酸酯正丁酯英文字母简称英文:PSolMA-PMMAnBuMAran用英语被称为:Poly(solketal methacrylate)-b-poly(methyl methacrylate-co-n-butyl methacrylate)用英语別称:Poly(Solketal methacrylate-block-methyl methacrylate-co-n-butyl methacrylate)CAS号:n/a; PMMAnBuMAran: 25608-33-7化学式式:[C10H16O4]n [(C5H8O2)x (C8H14O2)y]m主链组成部分:二嵌段共聚物最主要成份:PSolMA亲疏水:疏水服务结构类型:常规的抓团伙荧光/会发光:无外在/形式:固态硬盘安装顆粒或顆粒(以事实外在准确)纯净度:≤ 100%构造式:



pg电子娱乐游戏app
微信公众号
官方微信