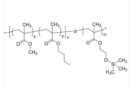
PMMAnBuMAran-PHEMATMS 聚甲基丙烯酸甲酯共甲基丙烯酸正丁酯-聚(三甲基硅氧基-2-甲基丙烯酸乙酯) 二嵌段共聚物
英文版命名:聚甲基丙稀酸甲酯共甲基丙稀酸正丁酯-聚(三甲医院基硅氧基-2-甲基丙稀酸乙酯)英语怎么说简称英文:PMMAnBuMAran-PHEMATMS用英语总称:Poly(methyl methacrylate-co-n-butyl methacrylate)-b-poly(trimethylsiloxy-2-ethyl methacrylate)英文字母别号:Poly(methyl methacrylate-co-n-butyl methacrylate-block-trimethylsiloxy-2-ethyl methacrylate)CAS号:n/a; PMMAnBuMAran: 25608-33-7; PHEMA: 25249-16-5氧化学结构式:[(C5H8O2)x (C8H14O2)y]n [C9H18O3Si]m主链组成:二嵌段共聚物主耍基本成分:PHEMA亲疏水溶性:疏水產项目型:常用抓大分子荧光/闪光:无表面/社会形态:固态硬盘安装粒子或粒子(以实际情况表面准确)纯净度:≤ 100%设备构造式:



pg电子娱乐游戏app
微信公众号
官方微信