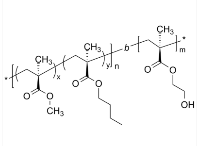
PMMAnBuMAran-PHEMA_iso 聚甲基丙烯酸甲酯共甲基丙烯酸正丁酯-聚甲基丙烯酸羟乙酯, 完全等规 两亲性二嵌段共聚物
英文版命名:聚甲基水性聚氨酯甲酯共甲基水性聚氨酯正丁酯-聚甲基水性聚氨酯羟乙酯英语怎么说简单来说就是:PMMAnBuMAran-PHEMA_iso英文怎么说总称:Poly(methyl methacrylate–co–n-butyl methacrylate)-b-poly(2-hydroxyethyl methacrylate), completeley isotactic英文版俗名:Poly(methyl methacrylate-co-n-butyl methacrylate)-block-poly(hydroxyethyl methacrylate)CAS号:n/a; PMMAnBuMAran: 25608-33-7; PHEMA: 25249-16-5氧分子结构:([C5H8O2]x [C8H14O2]y)n (C6H10O3)m主链形式:二嵌段共聚物最主要化学物质:PHEMA亲疏水性树脂:两亲性类产不断研发创新型:标准提分子式荧光/有光:无外形/结构:固态硬盘咖啡豆或颗料(以具体情况外形来算)含量:≤ 100%空间化学式:



pg电子娱乐游戏app
微信公众号
官方微信