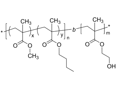
PMMAnBuMAran-PHEMA_atactic 聚甲基丙烯酸甲酯共甲基丙烯酸正丁酯-聚甲基丙烯酸羟乙酯, 无规 两亲性二嵌段共聚物
中文翻译分类:聚甲基亚克力 甲酯共甲基亚克力 正丁酯-聚甲基亚克力 羟乙酯英文字母简单来说就是:PMMAnBuMAran-PHEMA国外英文它的全称:Poly(methyl methacrylate–co–n-butyl methacrylate)-b-poly(2-hydroxyethyl methacrylate), atactic日文别号:Poly(methyl methacrylate-co-n-butyl methacrylate)-block-poly(hydroxyethyl methacrylate)CAS号:n/a; PMMAnBuMAran: 25608-33-7; PHEMA: 25249-16-5氧分子结构:([C5H8O2]x [C8H14O2]y)n (C6H10O3)m主链设计:二嵌段共聚物主耍组成:PHEMA亲疏水性聚氨酯:两亲性品牌内型:常规检查高分数子荧光/夜光:无美观/特性:固体粉沫或粒状(以事实美观应写)含量:≤ 100%的化学结构式:



pg电子娱乐游戏app
微信公众号
官方微信