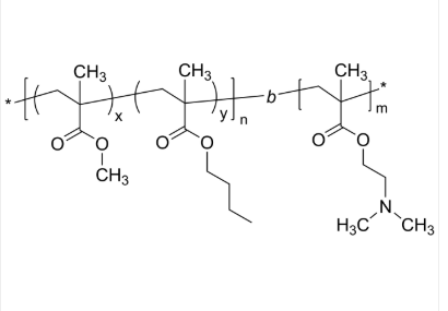
PMMAnBuMAran-PDMAEMA 聚甲基丙烯酸甲酯共甲基丙烯酸正丁酯-聚甲基丙烯酸二甲氨基乙酯 二嵌段共聚物
中文字简称:聚甲基水性聚氨酯甲酯共甲基水性聚氨酯正丁酯-聚甲基水性聚氨酯二甲氨基乙酯日文简单来说就是:PMMAnBuMAran-PDMAEMA因为称怎么读:Poly(methyl methacrylate-co-n-butyl methacrylate)-b-poly(N,N-dimethylaminoethyl methacrylate)英文版俗名:Poly(methyl methacrylate-co-n-butyl methacrylate-block-N,N-dimethyl aminoethyl methacrylate)CAS号:n/a; PMMAnBuMAran: 25608-33-7; PEMA: 9003-42-3原子式:[(C5H8O2)x (C8H14O2)y]n [C8H15O2N]m主链节构:二嵌段共聚物一般组分:PDMAEMA亲疏水性树脂:两亲性厂产品类别型:基本高分数子荧光/亮光:无外形/价值形式:固定金属粉或小粒(以真正外形是以)饱和度:≤ 100%格局式:



pg电子娱乐游戏app
微信公众号
官方微信